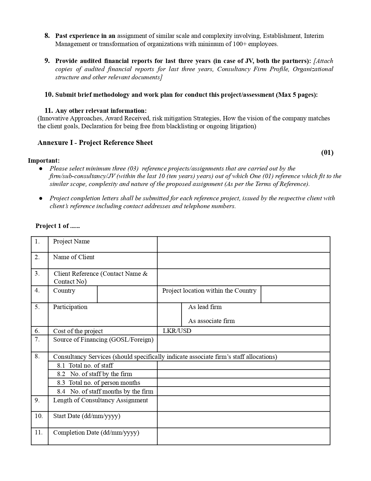
ප්රසම්පාදන
Procurement of 05 million preprinted polycarbonate cards for the issuance of National Identity Card

Extension of Bid Submission

More Details: https://drp.gov.lk/en/procument%20orgin.php
Procurement of Fifteen Million of Preprinted Polycarbonate Cards for the Issuance of National Identity Card

The Bid opening which was scheduled to be held on 3rd November 2025 has been extended up to 24th November.